FELLESKATALOGEN
Virkestoff: Follitropin alfa
Pakningsvedlegg
Pakningsvedlegg: Informasjon til brukeren
GONAL-f 300 IE/0,48 ml injeksjonsvæske, oppløsning i ferdigfylt penn
follitropin alfa
Les nøye gjennom dette pakningsvedlegget før du begynner å bruke dette legemidlet. Det inneholder informasjon som er viktig for deg.
-
Ta vare på dette pakningsvedlegget. Du kan få behov for å lese det igjen.
-
Spør lege eller apotek hvis du har flere spørsmål eller trenger mer informasjon.
-
Dette legemidlet er skrevet ut kun til deg. Ikke gi det videre til andre. Det kan skade dem, selv om de har symptomer på sykdom som ligner dine.
-
Kontakt lege eller apotek dersom du opplever bivirkninger, inkludert mulige bivirkninger som ikke er nevnt i dette pakningsvedlegget. Se avsnitt 4.
I dette pakningsvedlegget finner du informasjon om:
- Hva GONAL-f er og hva det brukes mot
- Hva du må vite før du bruker GONAL-f
- Hvordan du bruker GONAL-f
- Mulige bivirkninger
- Hvordan du oppbevarer GONAL-f
- Innholdet i pakningen og ytterligere informasjon
1. Hva GONAL-f er og hva det brukes motHva GONAL-f er
GONAL-f inneholder et legemiddel som heter ”follitropin alfa”. Follitropin alfa er en type ”follikkelstimulerende hormon” (FSH) som tilhører en gruppe hormoner som kalles ”gonadotropiner”. Gonadotropiner er involvert i reproduksjon og fertilitet.
Hva GONAL-f brukes mot
Hos voksne kvinner brukes GONAL-f:
-
for å bidra med å frigjøre et egg fra eggstokken (eggløsning) hos kvinner som ikke har eggløsning og som ikke har respondert på klomifensitrat.
-
i kombinasjon med legemidlet lutropin alfa (”luteiniserende hormon” eller LH) for å bidra til eggløsning hos kvinner som produserer svært lite gonadotropiner (FSH og LH).
-
for å bidra med å utvikle flere follikler (hver med et egg) hos kvinner som gjennomgår assistert befruktning (prosedyrer som kan hjelpe deg med å bli gravid) slik som ”in vitro-fertilisering”, ”gamet-intrafallopisk transfer” eller ”zygot-intrafallopisk transfer”.
Hos voksne menn brukes GONAL-f:
-
I kombinasjon med legemidlet humant koriongonadotropin (hCG) for å bidra med å produsere sperm hos menn som er ufruktbare på grunn av lave nivåer av visse hormoner.
2. Hva du må vite før du bruker GONAL-f
Før behandlingen begynner, bør din og partneren din sin fruktbarhet vurderes av en lege med erfaring innen fertilitetsproblemer.
Bruk ikke GONAL-f
-
dersom du er allergisk overfor follikkelstimulerende hormon eller noen av de andre innholdsstoffene i dette legemidlet (listet opp i avsnitt 6).
-
dersom du har svulst i hypothalamus eller hypofysen (begge finnes i hjernen).
-
dersom du er kvinne:
-
med store eggstokker eller væskefylte blærer som omslutter eggcellene (eggstokkcyster) av ukjent opprinnelse.
-
med vaginal blødning av ukjent årsak.
-
med eggstokk-, livmor- eller brystkreft.
-
med en lidelse som vanligvis gjør det umulig å oppnå normal graviditet, som f.eks. eggstokksvikt (tidlig overgangsalder), eller misformede reproduksjonsorganer.
-
-
dersom du er mann:
-
med irreversibel testikkelskade.
-
Ikke bruk GONAL-f hvis noe av det ovenstående gjelder deg. Rådfør deg med legen din før du bruker dette legemidlet hvis du er usikker.
Advarsler og forsiktighetsregler
Snakk med lege, apotek eller sykepleier før du bruker GONAL-f.
Porfyri
Informer legen din før du begynner med behandling, dersom du eller et familiemedlem har porfyri (manglende evne til å bryte ned porfyriner, en sykdom som kan overføres fra foreldre til barn).
Informer legen din før du begynner med behandling, dersom du eller et familiemedlem har porfyri (manglende evne til å bryte ned porfyriner, en sykdom som kan overføres fra foreldre til barn).
Informer legen din med en gang dersom:
-
huden din blir skjør og lett får blemmer, spesielt på områder som ofte er utsatt for sol, og/eller
-
du føler smerte i magen eller i armer eller ben.
I tilfeller av ovenstående hendelser kan det hende legen din råder deg til å stoppe behandlingen.
Ovarialt hyperstimuleringssyndrom (OHSS)
Dersom du er kvinne øker dette legemidlet risikoen for utvikling av OHSS. Dette oppstår når folliklene dine utvikles for mye og blir til store cyster. Dersom du får smerter i nedre del av buken, rask vektøkning, føler deg syk og kaster opp eller hvis du får problemer med å puste, må du umiddelbart informere legen din som kanskje ber deg slutte å bruke dette legemidlet (se avsnitt 4). Dersom du ikke får eggløsning og hvis anbefalt dosering og bruksplanen følges nøye, er det mindre sannsynlig at OHSS vil forekomme. Behandling med GONAL-f fører sjelden til alvorlig grad av OHSS så fremt legemidlet som brukes til å fremkalle den siste follikkelmodningen (inneholdende humant koriongonadotropin hormon – hCG) ikke gis. Det kan være legen din ber deg avstå fra å bruke hCG i denne behandlingssyklusen dersom OHSS oppstår, samt å avstå fra samleie eller bruke mekaniske prevensjonsmidler i minst 4 dager.
Dersom du er kvinne øker dette legemidlet risikoen for utvikling av OHSS. Dette oppstår når folliklene dine utvikles for mye og blir til store cyster. Dersom du får smerter i nedre del av buken, rask vektøkning, føler deg syk og kaster opp eller hvis du får problemer med å puste, må du umiddelbart informere legen din som kanskje ber deg slutte å bruke dette legemidlet (se avsnitt 4). Dersom du ikke får eggløsning og hvis anbefalt dosering og bruksplanen følges nøye, er det mindre sannsynlig at OHSS vil forekomme. Behandling med GONAL-f fører sjelden til alvorlig grad av OHSS så fremt legemidlet som brukes til å fremkalle den siste follikkelmodningen (inneholdende humant koriongonadotropin hormon – hCG) ikke gis. Det kan være legen din ber deg avstå fra å bruke hCG i denne behandlingssyklusen dersom OHSS oppstår, samt å avstå fra samleie eller bruke mekaniske prevensjonsmidler i minst 4 dager.
Multippel graviditet
Når du bruker GONAL-f har du en høyere risiko for å bli gravid med mer enn ett barn av gangen (”multippel graviditet”, som regel tvillinger), enn ved normal befruktning. Multippel graviditet kan føre til medisinske komplikasjoner for deg og spedbarna dine. Du kan redusere risikoen for multippel graviditet ved å bruke riktig dose med GONAL-f til riktig tid. Når du gjennomgår assistert befruktning er risikoen for multippel graviditet forbundet med alder, kvalitet og antall fertiliserte egg eller embryoer som settes tilbake i livmoren.
Når du bruker GONAL-f har du en høyere risiko for å bli gravid med mer enn ett barn av gangen (”multippel graviditet”, som regel tvillinger), enn ved normal befruktning. Multippel graviditet kan føre til medisinske komplikasjoner for deg og spedbarna dine. Du kan redusere risikoen for multippel graviditet ved å bruke riktig dose med GONAL-f til riktig tid. Når du gjennomgår assistert befruktning er risikoen for multippel graviditet forbundet med alder, kvalitet og antall fertiliserte egg eller embryoer som settes tilbake i livmoren.
Spontanabort
Når du gjennomgår assistert befruktning eller stimulering av eggstokkene dine for å produsere egg, har du en større risiko for spontanabort enn andre kvinner.
Problemer med blodkoagulering (tromboemboliske hendelser)
Hvis du tidligere eller nylig har hatt blodpropp i ben eller i lunger eller et hjerteinfarkt eller slag, eller hvis dette har forekommet hos noen i familien din, kan du ha en høyere risiko for at disse problemene forekommer eller blir verre med GONAL-f-behandling.
Hvis du tidligere eller nylig har hatt blodpropp i ben eller i lunger eller et hjerteinfarkt eller slag, eller hvis dette har forekommet hos noen i familien din, kan du ha en høyere risiko for at disse problemene forekommer eller blir verre med GONAL-f-behandling.
Menn med for mye FSH i blodet
Dersom du er mann, er forhøyet FSH-nivå i blodet tegn på testikkelskade. GONAL-f har vanligvis ingen virkning i slike tilfeller.
For å kontrollere behandlingen kan legen din be deg om å få tatt sædanalyse 4 til 6 måneder etter behandlingsstart.
Andre legemidler og GONAL-f
Rådfør deg med legen din dersom du bruker, nylig har brukt eller planlegger å bruke andre legemidler.
-
Dersom du bruker GONAL-f i kombinasjon med andre legemidler som stimulerer til eggløsning (f.eks. hCG eller klomifensitrat), kan dette øke responsen i folliklene dine.
-
Dersom du bruker GONAL-f i kombinasjon med gonadotropinfrigjørende hormon (GnRH) agonist eller antagonist (disse legemidlene reduserer sexhormonnivåene dine og hindrer eggløsning), kan det være du trenger en høyere dose med GONAL-f for å produsere follikler.
Graviditet og amming
Du må ikke ta GONAL-f dersom du er gravid eller ammer.
Kjøring og bruk av maskiner
Det er ikke forventet at dette legemidlet vil påvirke evnen til å kjøre bil og bruke maskiner.
GONAL-f inneholder natrium
Dette legemidlet inneholder mindre enn 1 mmol natrium (23 mg) i hver dose, og er så godt som ”natriumfritt”.
3. Hvordan du bruker GONAL-f
Hvor mye du skal bruke
Menn
Bruk alltid dette legemidlet nøyaktig slik legen din har fortalt deg. Kontakt lege eller apotek hvis du er usikker.
Bruk av dette legemidlet
-
GONAL-f skal settes rett under huden (subkutant). Den ferdigfylte pennen kan brukes til flere injeksjoner.
-
Den første injeksjonen med GONAL-f skal gis under overvåkning av legen din.
-
Legen din eller en sykepleier vil vise deg hvordan du skal bruke GONAL-f ferdigfylt penn for å injisere legemidlet.
-
Dersom du administrerer GONAL-f selv må du lese og følge ”Bruksanvisningen”.
Legen din vil avgjøre hvor mye legemiddel du skal bruke og hvor ofte. Dosene beskrevet nedenfor er oppgitt i Internasjonale Enheter (IE).
KvinnerHvis du ikke har eggløsning eller uregelmessig eller ingen menstruasjon
-
GONAL-f gis vanligvis hver dag.
-
Hvis du har uregelmessig menstruasjon skal du begynne å bruke GONAL-f innen de 7 første dagene av menstruasjonssyklusen. Hvis du ikke har menstruasjon kan du begynne å bruke legemidlet på en hvilken som helst passende dag.
-
Startdosen av GONAL-f er som regel personlig tilpasset og kan justeres trinnvis.
-
Den daglige dosen av GONAL-f skal ikke være høyere enn 225 IE.
-
Når du oppnår ønsket respons vil du bli gitt en enkelt injeksjon med 250 mikrogram ”rekombinant hCG” (r-hCG, et hCG laget i et laboratorie med en spesiell DNA-teknikk) eller 5 000 til 10 000 IE med hCG, 24 til 48 timer etter din siste GONAL-f injeksjon. Det beste tidspunket for samleie er på samme dag som hCG-injeksjonen og dagen etter.
Dersom legen din ikke ser en ønsket respons bør fortsettelsen av behandlingssyklusen med GONAL-f evalueres og administreres i henhold til standard klinisk praksis.
Hvis kroppen din reagerer for sterkt vil behandlingen stanses og du vil ikke gis hCG (se avsnitt 2, "Ovarialt hyperstimuleringssyndrom (OHSS)". For påfølgende syklus vil legen din gi deg en lavere startdose med GONAL-f enn før.
Dersom du er diagnostisert med svært lave nivåer av FSH- og LH-hormoner
-
Den vanlige startdosen av GONAL-f er 75 til 150 IE sammen med 75 IE lutropin alfa.
-
Du vil bruke disse to legemidlene hver dag i opp til fem uker.
-
GONAL-f dosen kan økes hver 7. eller hver 14. dag med 37,5 til 75 IE til du oppnår ønsket respons.
-
Når du oppnår ønsket respons vil du bli gitt en enkelt injeksjon med 250 mikrogram ”rekombinant hCG” (r-hCG, et hCG laget i et laboratorie med en spesiell DNA-teknikk) eller 5000 til 10 000 IE med hCG, 24 til 48 timer etter dine siste injeksjoner med GONAL-f og lutropin alfa. Det beste tidspunket for samleie er på samme dag som hCG-injeksjonen og dagen etter. Alternativt kan intrauterin inseminering eller en annen prosedyre for medisinsk assistert befruktning utføres i henhold til legen din sin vurdering.
Dersom legen din ikke ser en respons etter 5 uker, vil behandlingssyklusen med GONAL-f stanses. For påfølgende syklus vil legen gi deg en høyere startdose med GONAL-f enn før.
Hvis kroppen din reagerer for sterkt vil behandlingen med GONAL-f stanses og du vil ikke gis hCG (se avsnitt 2, "Ovarialt hyperstimuleringssyndrom (OHSS)"). For påfølgende syklus vil legen din gi deg en lavere startdose med GONAL-f enn før.
Hvis det er nødvendig å utvikle flere egg for uttak før assistert befruktning
Hvis kroppen din reagerer for sterkt vil behandlingen med GONAL-f stanses og du vil ikke gis hCG (se avsnitt 2, "Ovarialt hyperstimuleringssyndrom (OHSS)"). For påfølgende syklus vil legen din gi deg en lavere startdose med GONAL-f enn før.
-
Startdosen av GONAL-f er som regel personlig tilpasset og kan justeres trinnvis til 450 IE daglig, men ikke høyere.
-
Behandlingen fortsettes til eggene dine har utviklet seg til et ønsket punkt. Legen din vil bruke blodprøver og/eller en ultralydmaskin for å se når dette er.
-
Når eggene dine er klare vil du bli gitt en enkelt injeksjon med 250 mikrogram rekombinant hCG (r-hCG, et hCG laget i et laboratorie med en spesiell rekombinant DNA-teknikk) eller 5000 til 10 000 IE med hCG, 24 til 48 timer etter din siste GONAL-f injeksjon. Dette gjør eggene dine klare for uttak.
-
Den vanlige dosen med GONAL-f er 150 IE i kombinasjon med hCG.
-
Du vil bruke disse to legemidlene tre ganger i uken i minst 4 måneder.
-
Hvis du ikke har respondert på behandlingen etter 4 måneder, kan det hende legen din foreslår at du fortsetter å bruke disse to legemidlene i minst 18 måneder.
Dersom du tar for mye av GONAL-f
Effekten av å ta for mye av GONAL-f er ukjent. Det er likevel mulig at ovarialt hyperstimuleringssyndrom (OHSS) kan oppstå, som beskrevet under avsnitt 4. Imidlertid vil OHSS bare forekomme dersom du også får hCG (se avsnitt 2, "Ovarialt hyperstimuleringssyndrom (OHSS)").
Dersom du har glemt å ta GONAL-f
Hvis du glemmer å ta GONAL-f skal du ikke ta dobbel dose som erstatning for en glemt dose. Kontakt legen din så snart du merker at du har glemt en dose.
Spør lege eller apotek dersom du har noen spørsmål om bruken av dette legemidlet.
4. Mulige bivirkninger
Alvorlige bivirkninger hos menn og kvinner
Hvis du merker noen av de ovenstående bivirkningene, må du umiddelbart kontakte legen din som kanskje ber deg slutte å bruke GONAL-f.Andre bivirkninger hos kvinner
Som alle legemidler kan dette legemidlet forårsake bivirkninger, men ikke alle får det.
Alvorlige bivirkninger hos kvinner
-
Smerter i nedre del av magen sammen med kvalme eller oppkast kan være symptomer på ovarialt hyperstimuleringssyndrom (OHSS). Dette kan være tegn på at eggstokkene overreagerte på behandlingen og at store eggstokkcyster ble utviklet (se også i avsnitt 2, under "Ovarialt hyperstimuleringssyndrom (OHSS)"). Dette er en vanlig bivirkning (kan forekomme hos opptil 1 av 10 personer).
-
OHSS kan bli alvorlig med tydelig forstørrede eggstokker, nedsatt urinproduksjon, vektøkning, pustevansker og/eller ansamling av væske i magen eller brysthulen. Dette er en mindre vanlig bivirkning (kan forekomme hos opptil 1 av 100 personer).
-
Komplikasjoner av OHSS som f.eks. vridning av eggstokkene eller dannelse av blodpropp kan i sjeldne tilfeller forekomme (kan forekomme hos opptil 1 av 1000 personer).
-
I svært sjeldne tilfeller kan alvorlige blodproppkomplikasjoner (tromboemboliske hendelser) noen ganger oppstå uavhengig av OHSS (kan forekomme hos opptil 1 av 10 000 personer). Dette kan forårsake brystsmerter, andpustenhet, slag eller hjerteinfarkt (se også i avsnitt 2, under "Problemer med blodkoagulering").
-
Allergiske reaksjoner som utslett, rød hud, elveblest, hevelser i ansiktet kombinert med pustevansker kan noen ganger være alvorlige. Denne bivirkningen er svært sjelden (kan forekomme hos opptil 1 av 10 000 personer).
Svært vanlige (kan forekomme hos mer enn 1 av 10 personer):
-
Væskefylte blærer som omslutter eggcellene på eggstokkene (ovariecyster)
-
Hodepine
-
Lokale reaksjoner på injeksjonsstedet, som smerte, rødhet, blåmerker, hevelse og/eller irritasjon
Vanlige (kan forekomme hos opptil 1 av 10 personer):
-
Smerter i mageregionen
-
Kvalme, oppkast, diaré, magekramper og oppblåst mage
Svært sjeldne (kan forekomme hos opptil 1 av 10 000 personer):
Andre bivirkninger hos menn
-
Allergiske reaksjoner som utslett, rød hud, elveblest, hevelser i ansiktet med pustevansker kan forekomme. Disse reaksjonene kan noen ganger være alvorlige.
-
Astmaen din kan bli verre.
Svært vanlige (kan forekomme hos mer enn 1 av 10 personer):
-
Lokale reaksjoner på injeksjonsstedet, som smerte, rødhet, blåmerker, hevelse og/eller irritasjon
Vanlige (kan forekomme hos opptil 1 av 10 personer):
-
Hevelse i blodkarene over og bak testiklene (årebrokk)
-
Utvikling av bryster, akne eller vektøkning
Svært sjeldne (kan forekomme hos opptil 1 av 10 000 personer):
-
Allergiske reaksjoner som utslett, rød hud, elveblest, hevelser i ansiktet med pustevansker kan forekomme. Disse reaksjonene kan noen ganger være alvorlige.
-
Astmaen din kan bli verre.
Melding av bivirkninger
Kontakt lege, apotek eller sykepleier dersom du opplever bivirkninger. Dette gjelder også bivirkninger som ikke er nevnt i pakningsvedlegget. Du kan også melde fra om bivirkninger direkte via meldeskjema som finnes på nettsiden til Direktoratet for medisinske produkter: www.dmp.no/pasientmelding. Ved å melde fra om bivirkninger bidrar du med informasjon om sikkerheten ved bruk av dette legemidlet.
5. Hvordan du oppbevarer GONAL-f
Oppbevares utilgjengelig for barn.
Bruk ikke dette legemidlet etter utløpsdatoen som er angitt på etiketten på sylinderampullen etter EXP eller på esken etter Utløpsdato. Utløpsdatoen er den siste datoen i den angitte måneden.
Oppbevares i kjøleskap (2-8ºC). Skal ikke fryses.
Oppbevares i kjøleskap (2-8ºC). Skal ikke fryses.
Før åpning og innen holdbarhetsdatoen kan legemidlet oppbevares utenfor kjøleskap ved temperaturer på høyst 25ºC i en enkeltperiode på opptil 3 måneder og må kastes dersom det ikke er blitt brukt innen disse 3 månedene.
Behold lokket på pennen for å beskytte mot lys.
Bruk ikke GONAL-f hvis du ser synlige tegn på forringelse, hvis væsken er uklar eller inneholder partikler.
Etter anbrudd må pennen oppbevares ved mellom 2ºC og 25ºC i maksimalt 28 dager. Ikke bruk overflødig legemiddel som er igjen i den ferdigfylte pennen etter 28 dager.
Etter behandling må all ubrukt oppløsning kastes.
Legemidler skal ikke kastes i avløpsvann. Spør på apoteket hvordan du skal kaste legemidler som du ikke lenger bruker. Disse tiltakene bidrar til å beskytte miljøet.
6. Innholdet i pakningen og ytterligere informasjon
Sammensetning av GONAL-f
-
Virkestoff er follitropin alfa.
-
Hver ferdigfylte penn med flerdosesylinderampulle inneholder 300 IE (22 mikrogram) follitropin alfa i 0,48 ml oppløsning.
-
Andre innholdsstoffer er poloksamer 188, sakkarose, metionin, natriumdihydrogenfosfatmonohydrat, dinatriumfosfatdihydrat, m-kresol, samt konsentrert fosforsyre og natriumhydroksid for justering av pH og vann til injeksjonsvæske.
Hvordan GONAL-f ser ut og innholdet i pakningen
-
GONAL-f presenteres som en klar, fargeløs injeksjonsvæske, oppløsning i ferdigfylt penn.
-
Det leveres i pakker med 1 ferdigfylt penn og 8 engangskanyler for injeksjon.
Innehaver av markedsføringstillatelsen
Merck Europe B.V., Gustav Mahlerplein 102, 1082 MA Amsterdam, Nederland
Tilvirker
Merck Serono S.p.A., Via delle Magnolie 15, 70026 Modugno (Bari), Italia
Dette pakningsvedlegget ble sist oppdatert 06.01.2025
Detaljert informasjon om dette legemidlet er tilgjengelig på nettstedet til Det europeiske legemiddelkontoret (the European Medicines Agency): https://www.ema.europa.eu
injeksjonsvæske, oppløsning i ferdigfylt penn
follitropin alfa
Viktig informasjon om GONAL-f ferdigfylt penn
follitropin alfa
-
Les bruksanvisningen og pakningsvedlegget før du bruker GONAL-f ferdigfylt penn.
-
Følg alltid alle instruksjonene i denne bruksanvisningen og opplæringen gitt av helsepersonell, da de kan avvike fra tidligere erfaring. Denne informasjonen vil forhindre feilbehandling eller infeksjon på grunn av nålestikk eller skader fra knust glass.
-
GONAL-f ferdigfylt penn er kun til bruk under huden (subkutan bruk).
-
Bruk kun GONAL-f ferdigfylt penn dersom helsepersonell gir deg opplæring i riktig bruk.
-
Helsepersonellet vil fortelle deg om hvor mange GONAL-f ferdigfylte penner som må til for å fullføre behandlingen din.
-
Ta injeksjonen til samme tid hver dag.
-
Tallene i doseringsvinduet representerer antallet internasjonale enheter, eller IE, og viser dosen med follitropin alfa. Helsepersonellet vil fortelle deg hvor mange IE med follitropin alfa du skal injisere hver dag.
-
Fjern kanylen fra pennen umiddelbart etter hver injeksjon.
Ikke bruk kanyler på nytt.
Ikke del pennen og/eller kanylene med en annen person.
Ikke bruk GONAL-f ferdigfylt penn hvis den har falt ned, eller pennen er sprukket eller skadet, da dette kan forårsake skade.
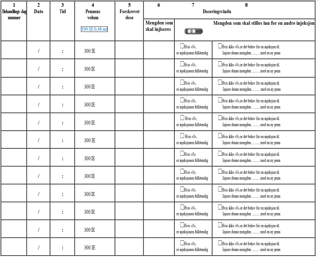
Hvordan du bruker behandlingsdagboken for GONAL-f ferdigfylt penn
Ikke del pennen og/eller kanylene med en annen person.
Ikke bruk GONAL-f ferdigfylt penn hvis den har falt ned, eller pennen er sprukket eller skadet, da dette kan forårsake skade.
En behandlingsdagbok er inkludert nederst i bruksanvisningen. Bruk behandlingsdagboken til å notere mengden som er injisert.
Injisering av feil mengde kan påvirke behandlingen din.
Injisering av feil mengde kan påvirke behandlingen din.
-
Noter behandlingsdagens nummer (kolonne 1), dato (kolonne 2), tid for injeksjonen (kolonne 3) og pennens volum (kolonne 4).
-
Noter den forskrevne dosen din (kolonne 5).
-
Kontroller at du stiller inn den riktige dosen før du injiserer (kolonne 6).
-
Etter injeksjonen, les av tallet som vises i doseringsvinduet.
-
Kontroller at du tar en fullstendig injeksjon (kolonne 7) eller noter tallet som vises i doseringsvinduet hvis det er noe annet enn «0» (kolonne 8).
-
Ved behov, sett en ny injeksjon med en ny penn, hvor du stiller inn den gjenværende dosen notert under «Mengde som skal stilles inn for en andre injeksjon» (kolonne 8).
-
Noter denne gjenværende dosen under «Mengde som skal injiseres» (kolonne 6) i tabellens neste rad.
Ved å bruke behandlingsdagboken til å notere din(e) daglige injeksjon(er) kan du kontrollere hver dag at du har fått hele den forskrevne dosen din.
Et eksempel på behandlingsdagbok:
Gjør deg kjent med GONAL-f ferdigfylt penn
Trinn 1 Ta frem alt utstyr
Et eksempel på behandlingsdagbok:
1.1 La den ferdigfylte pennen stå i romtemperatur i minst 30 minutter før bruk, slik at legemidlet når romtemperatur.
Ikke bruk mikrobølgeovn eller andre varmekilder til å varme opp pennen.
Ikke bruk mikrobølgeovn eller andre varmekilder til å varme opp pennen.
1.2 Klargjør et rent område og en flat overflate, for eksempel et bord eller benkeplate, i et godt opplyst område.
1.3 Du vil også trenge (ikke inkludert i pakken):
1.5 Bruk hånden til å ta GONAL-f ferdigfylt penn ut av pakken.
Ikke bruk verktøy, da bruk av verktøy kan skade pennen.
Ikke bruk verktøy, da bruk av verktøy kan skade pennen.
1.6 Kontroller at det står GONAL-f på pennen.
Ikke bruk GONAL-f ferdigfylt penn dersom utløpsdatoen er utgått eller dersom det ikke står GONAL-f på pennen.
Trinn 2 Gjør deg klar til injeksjon
2.2 Kontroller at legemidlet er klart, fargeløst og uten partikler.
Ikke bruk den ferdigfylte pennen dersom legemidlet er misfarget eller grumsete, da dette kan føre til en infeksjon.
Ikke bruk den ferdigfylte pennen dersom legemidlet er misfarget eller grumsete, da dette kan føre til en infeksjon.
Velg injeksjonssted:
2.4 Helsepersonell skal vise deg injeksjonsstedene som skal brukes rundt omkring på mageområdet (figur 9). For å minimere hudirritasjon skal du bruke et forskjellig injeksjonssted hver dag.
2.4 Helsepersonell skal vise deg injeksjonsstedene som skal brukes rundt omkring på mageområdet (figur 9). For å minimere hudirritasjon skal du bruke et forskjellig injeksjonssted hver dag.
2.5 Rengjør huden på injeksjonsstedet ved å tørke det av med en spritserviett.
Ikke berør eller dekk til den rengjorte huden.
Trinn 3 Fest kanylen
Ikke berør eller dekk til den rengjorte huden.
Viktig: Sørg alltid for å bruke en ny kanyle for hver injeksjon. Gjenbruk av nåler kan forårsake infeksjon.
3.1 Finn frem en ny kanyle. Bruk bare de vedlagte engangskanylene.
3.1 Finn frem en ny kanyle. Bruk bare de vedlagte engangskanylene.
3.2 Kontroller at den ytre kanylehetten ikke er skadet.
3.3 Ta godt tak i den ytre kanylehetten.
3.4 Kontroller at den avtrekkbare forseglingen på den ytre kanylehetten ikke er skadet eller løs, og at utløpsdatoen ikke er utgått (figur 10).
3.5 Fjern den avtrekkbare forseglingen (figur 11).
Ikke bruk kanylen hvis den er skadet, utgått eller hvis den ytre kanylehetten eller den avtrekkbare forseglingen er skadet eller løs. Bruk av utgåtte kanyler eller kanyler med skadet forsegling eller hette kan føre til infeksjon. Kast den i en beholder for skarpt avfall og finn frem en ny kanyle.

3.6 Skru den ytre kanylehetten på den gjengede tuppen på GONAL-f ferdigfylt penn til du føler lett motstand (figur 12).
Ikke fest kanylen for stramt for da kan det bli vanskelig å fjerne kanylen etter injeksjonen.

3.6 Skru den ytre kanylehetten på den gjengede tuppen på GONAL-f ferdigfylt penn til du føler lett motstand (figur 12).
Ikke fest kanylen for stramt for da kan det bli vanskelig å fjerne kanylen etter injeksjonen.
3.8 Legg den til side for senere bruk (figur 14).
Ikke kast den ytre kanylehetten, da den vil forhindre nålestikkskade og infeksjon når du løsner kanylen fra den ferdigfylte pennen.
Ikke kast den ytre kanylehetten, da den vil forhindre nålestikkskade og infeksjon når du løsner kanylen fra den ferdigfylte pennen.
3.10 Ta forsiktig av og kast den indre kanylehetten (figur 16).

Ikke sett tilbake den indre kanylehetten på kanylen, da det kan føre til nålestikkskade og infeksjon.

Ikke sett tilbake den indre kanylehetten på kanylen, da det kan føre til nålestikkskade og infeksjon.
|
Hvis
|
Skal du
|
|
Du bruker en ny penn
|
Se etter en væskedråpe på kanylespissen.
|
|
Bruke en penn på nytt
|
Det er IKKE nødvendig å se etter en væskedråpe. Gå direkte til trinn 4 Still inn dosen. |
Hvis du ikke ser små væskedråper på eller i nærheten av kanylespissen første gang du bruker en ny penn:
1. Vri doseinnstillingsknappen forsiktig forover til den viser «25» i doseringsvinduet (figur 18).
-
Du kan vri doseinnstillingsknappen bakover hvis du vrir den forbi «25».
2. Hold pennen med kanylen vendt opp.
3. Slå lett på væskebeholderen (figur 19).
4. Trykk doseinnstillingsknappen ned så langt det går. En liten væskedråpe vil komme ut av kanylespissen (figur 20).
5. Kontroller at doseringsvinduet viser «0» (figur 21).
6. Fortsett til trinn 4 Still inn dosen.
3. Slå lett på væskebeholderen (figur 19).
4. Trykk doseinnstillingsknappen ned så langt det går. En liten væskedråpe vil komme ut av kanylespissen (figur 20).
5. Kontroller at doseringsvinduet viser «0» (figur 21).
6. Fortsett til trinn 4 Still inn dosen.
Hvis du ikke ser en liten væskedråpe, snakk med helsepersonell.
Trinn 4 Still inn dosen
Merk: Pennen inneholder 300 IE follitropin alfa. Maksimal enkeltdose som kan stilles inn på 300 IE-pennen er 300 IE. Den minste enkeltdosen som kan stilles inn er 12,5 IE, og dosen kan økes i trinn på 12,5 IE.
4.1 Vri doseinnstillingsknappen til ønsket dose vises i doseringsvinduet.
-
Eksempel: Hvis den tiltenkte dosen er «150» IE, kontrollerer du at doseringsvinduet viser «150» (figur 22). Injisering av feil mengde legemiddel kan påvirke behandlingen din.
4.2 Kontroller at doseringsvinduet viser hele den forskrevne dosen din før du går videre til neste trinn.
Trinn 5 Injiser dosen
Viktig: Injiser dosen slik du ble opplært til å gjøre av helsepersonell.
5.1 Skyv kanylen sakte helt inn i huden (figur 24).
5.1 Skyv kanylen sakte helt inn i huden (figur 24).
5.2 Plasser tommelen i midten av doseinnstillingsknappen. Trykk doseinnstillingsknappen sakte helt inn og hold den inne for å fullføre hele injeksjon (figur 25).
Merk: Jo større dose, desto lengre tid tar det å injisere.

5.3 Hold doseinnstillingsknappen inne i minst 5 sekunder før du trekker kanylen ut av huden (figur 26).
Trinn 6 Fjern kanylen etter hver injeksjon
Merk: Jo større dose, desto lengre tid tar det å injisere.

5.3 Hold doseinnstillingsknappen inne i minst 5 sekunder før du trekker kanylen ut av huden (figur 26).
-
Dosetallet som vises i
doseringsvinduet vil gå tilbake til
«0». -
Etter minst 5 sekunder, trekk kanylen ut av huden mens doseinnstillingsknappen holdes inne (figur 27).
-
Når kanylen er ute av huden kan du slippe doseinnstillingsknappen.
6.1 Legg den ytre kanylehetten på en jevn overflate.
6.2 Ta et godt tak i GONAL-f ferdigfylt penn med én hånd, og stikk kanylen inn i den ytre kanylehetten (figur 28).
6.3 Fortsett å skyve den tildekkede kanylen mot en fast overflate til du hører et klikk («click») (figur 29).
6.5 Kast den brukte kanylen på forsvarlig måte i en beholder for skarpt avfall (figur 31). Håndter kanylen forsiktig så du ikke skader deg.
Ikke gjenbruk eller del brukte kanyler.
Trinn 7 Etter injeksjonen
7.1 Kontroller at du har fått en fullstendig injeksjon:
Hvis doseringsvinduet viser et tall som er høyere enn «0», er GONAL-f ferdigfylt penn tom. Du har ikke fått hele den forskrevne dosen, og du må utføre trinn 7.2 nedenfor.

7.2 Fullfør en delvis injeksjon (kun ved behov):
Trinn 8 Oppbevar GONAL-f ferdigfylt penn
-
Kontroller at doseringsvinduet viser «0» (figur 32).
Hvis doseringsvinduet viser et tall som er høyere enn «0», er GONAL-f ferdigfylt penn tom. Du har ikke fått hele den forskrevne dosen, og du må utføre trinn 7.2 nedenfor.

7.2 Fullfør en delvis injeksjon (kun ved behov):
-
Doseringsvinduet vil vise den manglende mengden som du må injisere med en ny penn. I eksemplet som vises, er den manglende mengden «50» IE (figur 33).
-
For å fullføre dosen med en andre penn, gjenta trinn 1 til 8.
8.2 Oppbevar pennen med lokket på plass på et trygt sted og som angitt i pakningsvedlegget.
8.3 Spør helsepersonellet hvordan penner, som ikke skal brukes lenger, skal kastes.
Ikke oppbevar pennen med kanylen påsatt, da dette kan forårsake infeksjon.
Ikke bruk GONAL-f ferdigfylt penn hvis den har falt ned, eller pennen er sprukket eller skadet, da dette kan forårsake skade.
Snakk med helsepersonell hvis du har spørsmål.
Behandlingsdagbok for GONAL-f ferdigfylt penn
Denne bruksanvisningen ble sist oppdatert: 06.01.2025
Ikke bruk GONAL-f ferdigfylt penn hvis den har falt ned, eller pennen er sprukket eller skadet, da dette kan forårsake skade.
Snakk med helsepersonell hvis du har spørsmål.
















